淺析差壓液位變送器在蒸汽冷凝槽中的應用
發表時間:2019-04-21|? 聯系電話:15601403222 、 13915181149
摘 要:介紹了某核電站蒸汽冷凝水平衡槽液位測量儀表系統構成及工作原理,差壓液位變送器的安裝注意事項、遷移計算方法,并結合某核電站安裝調試中出現的具體問題,對壓差液位變送器的安裝調試進行了分析與改進。在實際運行中,差壓液位變送器測量穩定,調試維護方便。
0 引言
核電廠中蒸發裝置、冷卻裝置是硼回收系統、廢液收集處理系統等重要組成部分,蒸汽冷凝水平衡槽用于收集蒸汽冷凝水,并通過其液位控制來保持冷卻器內充滿被冷卻的液體,蒸汽冷凝槽液位控制對核電站輔助工藝系統的正常穩定運行起著重要作用。由于核電站硼回收系統、廢液收集處理系統產生的氣體、液體均帶有放射性,蒸汽冷凝槽放置于人員禁止靠近或不易靠近的區域,這就對儀表的安裝位置提出了要求,測量儀表應安裝于便于維護、放射性較低的區域。而差壓液位變送器由于其性能穩定、精度高、分離式安裝等特點,其**應用于核電站液位測量中。本文以某核電廠的蒸汽冷凝水平衡槽液位測量為例,詳細闡述了差壓液位變送器在蒸汽冷凝水平衡槽中的設計應用,并結合某核電廠實際安裝調試問題對其進行了分析及改進。
1 蒸汽冷凝水平衡槽液位測量系統
1. 1 差壓液位變送器測量原理
差壓液位變送器主要有差壓傳感器、變送器組成。
差壓傳感器測量原理為:來自雙側導壓罐中的壓力作用于傳感器兩側的隔離膜片上,通過膜片內的密封液傳導至測量元件上,測量元件將測得的壓差值轉換成對應的電信號(4 ~20mA 信號)輸出。差壓液位變送器工作原理:通過特定的系統布置,依據液體壓強計算公式(P = ),將被測容器的液位測量轉化成壓差測量,再通過相應的公式推算可計算出被測容器實時液位值。差壓液位變送器應用場合主要有常壓容器液位測量、帶壓容器液位測量兩種。
1. 2 蒸汽冷凝水平衡槽液位測量系統
蒸汽冷凝水平衡槽液位測量系統采用差壓式液位測量原理,其系統設置如圖 1 流程圖所示。液位測量系統主要有儲槽 013BA(帶壓容器)、平衡容器、平衡容器補水管線及連通管、儀表根閥、差壓變送器405MN 及引壓管路組成。該液位測量裝置專門設置平衡容器,以避免差壓變送器氣體測量端由于蒸汽冷凝帶來的誤差以及高溫蒸汽對測量儀表造成的損害。其工作流程及原理如下:
平衡罐安裝于被測容器的上方,平衡罐中部通過管線與冷凝槽上部進氣/液管線連通。系統調試運行前,首先通過平衡罐頂部補水管線對平衡容器進行補水,當平衡罐中液體超過連通管接口時,多余的液體自流進廢液儲槽,停止補水,保持平衡罐上部氣壓與廢液儲槽 013BA 上部氣壓一致。差壓變送器一端連接廢液儲槽底部壓力接口(405VML 根閥),一端連接平衡罐底部壓力接口(405VML 根閥),根據差壓式液位測量原理,差壓變送器 405MN 實際測量的差壓值經過公式換算后,可得到廢液儲槽 013BA 的實時液位。

2 差壓液位變送器安裝與調試方法
2. 1 液位測量儀表安裝
差壓液位變送器的正確規范安裝以及安裝方式對應量程、上限、下限的計算和設置決定了容器液位測量的正確性。差壓液位變送器在蒸汽冷凝水平衡槽液位測量中應用時,應注意以下事項:
(1)傳感器(差壓變送器)的安裝高度應低于 0%容器液位;
(2)平衡罐的安裝高度應高于容器上部取源口,容器與平衡罐的連同管線應保持至少 2% 的坡度,保證平衡罐中補充或冷凝的多余液體回流到容器中,以維持傳感器平衡罐測得壓力恒定;
(3)容器上部取源口應高于 ****容器液位;
(4)從儀表根閥至傳感器的引壓管線應保持往下至少 2%的坡度,使引壓罐中不會集氣;
(5)傳感器應安裝于輻射劑量較低的區域(黃區、綠區或白區),以便于現場維護。

2. 2 液位測量儀表遷移計算
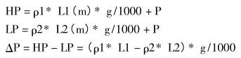
蒸汽冷凝槽液位測量儀表在調試過程中,將差壓變送器測量值通過遷移計算轉換成實際液位值,是調試的主要工作。下面以某冷凝槽液位測量儀表為例,對儀表的遷移計算方法進行說明(見圖 2 所示)。HP 傳感器高壓側壓力,LP 為低壓側壓力。ρ1 為被測容器介質密度,ρ2 為平衡罐中介質濃度,L1 為被測容器液位值,L2 為平衡罐液面至被測容器 0 液位的距離。P 為傳感器低于正常水位產生的固定壓力值與容器內部氣壓值之和。
容器 0%液位時 HP、LP 計算如下:

容器 ****液位時 HP、LP 計算如下:

傳感器數值對應關系如表 1 所示。

由于傳感器輸出 mA 值與差壓顯示值呈線性變化,根據上述公式,可得出傳感器 ΔP 數值對應的實際液位值。
3 現場安裝調試問題分析及處理
某核電廠蒸汽冷凝水平衡槽液位測量儀表,在調試過程中量程遷移不到位,不能滿足測量要求。
3. 1 問題分析
查閱相關圖紙資料及經過現場測繪,冷凝槽、平衡容器中液體均為水,密度 ρ1、ρ2 均為 998. 35Kg/m 3 ,容器液位測量范圍 0 ~ 500mm,L2 為 1. 1m,現場到貨儀表*大量程為 6kPa。液位測量流程圖如圖 1所示,遷移計算如圖 2 所示。
由第二章節可知,當正常水位為 0 時,差壓變送器兩端的壓差*值達到*大值,根據實際測量數據,*大壓差約為 11kPa,超出了現有儀表的量程范圍。通過分析造成這種情況產生的原因如下:儀控**按照工藝輸入條件進行儀表選型,儀控**收到系統**的輸入條件是需要測量 013BA 的液位,測量范圍為 0 ~500mm,設計者對差壓液位測量儀表的安裝方式及測量原理認識不清,沒有考慮到儀表量程范圍的選擇與儀表平衡罐的位置有關,只是按照工藝輸入條件進行設計,造成儀表不適用現場。這要求設計人員在設計前,應掌握液位測量儀表的測量原理及安裝方法,才能避免現場問題的產生。
3. 2 問題處理
通過上述分析,我們可知目前是所選差壓變送器量程過小造成問題的產生,且工藝過程中存在的*大壓差與平衡罐的高度(也就是遷移計算書中 L2 的長度)有關,L2 的長度變小,相應的*大壓差值就變小。那么,就有兩種方案可解決該問題:
(1)更換儀表量程,選擇*大量程大于 11kPa 的儀表;
(2)將平衡罐的高度降低 500mm 左右,使現有儀表能夠滿足現場測量的要求。
方案 1 主要涉及采購周期的問題,從儀表采購到儀表到貨*少需要 3 個月,而核電站建設周期與時間節點有嚴格的把控,從問題反饋到下一個重要節點僅有 1 個多月時間,時間來不及,故該方案暫不考慮。
方案 2 需考慮平衡罐降低高度的可能性?;谄胶夤拗幸后w回流至 013BA 的原理,平衡罐至 013BA上部出口管道的管線應水平微微向下敷設,因此平衡罐下降的同時,連接管線也應同時下降。經查閱設備圖紙,013BA 底部取源口至設備頂部出口的距離約為550mm,故該方案可行。雖然現場管道及保溫已安裝完畢,更改平衡罐高度會牽扯到 SED 補水管線、平衡罐連接管線、拆保溫層等工作,工作量較大,但為滿足裝料時間節點,*終采用該方案。
4 結束語
差壓液位液位變送器在核電站蒸汽冷凝水平衡槽的液位測量中已得到**的應用,各電站運行反饋中,該液位測量方式運行穩定、測量精度高、便于維護且經濟性高。但在安裝調試過程中,仍然出現各種各樣的問題,這就要求核電站設計、安裝、調試人員應對液位測量變送器的測量原理、安裝要求、遷移計算方法等有比較清楚的認知,這樣才能保證冷凝水平衡槽液位的正確、*測量。
受歡迎產品
- 液位壓力變送器
- 壓差變送器
- 法蘭式液位變送器
- 靜壓式液位變送器
- 一體化溫度變送器
- 壓力液位變送器
- 隔膜壓力變送器
- 3051壓力變送器
- 衛生型壓力變送器
- GPRS無線遠傳壓力|差壓|液位|變送器,液位計
- 單法蘭液位變送器
- 防腐投入式液位變送器
- 差壓液位變送器
- 磁翻板液位變送器
- 雙法蘭液位變送器
- 浮球液位變送器
- 電容式液位變送器
- 差壓變送器
- 電容式液位計
- 微壓差變送器
*新資訊文章
- 液位計的聯鎖值低于報警值是否不合理?
- 針對雙法蘭液位計膜片保護的安裝改造方法詳解
- 工業自動化設備中常用的壓力變送器
- 壓力傳感器的分類、特點以及用途
- 在稠油熱采平臺中如何對壓力變送器選型及安裝的研究
- 智能液位變送器在制漿造紙中的使用說明及維護方法
- 液位變送器在制漿紙中的應用和維護情況介紹
- 壓力變送器常見故障的四點解決對策
- 加壓鍋爐汽包中利用差壓變送器測量封閉水箱水位的調試過程
- 浮球液位變送器的產品原理及使用時的注意事項
- 關于生產衛生型壓力變送器的衛生級設計的**性要求
- 當使用平膜壓力變送器時出現以下誤差是無法避免的
- 壓力變送器與壓力傳感器有什么不同
- 壓力變送器常見問題排查5點方法
- 簡述單法蘭與雙法蘭液位變送器區別有哪些?
- 為什么壓力變送器的信號輸出常用的是4-20mA dc的原因分析
- 簡述電容式、擴散硅、陶瓷式微差壓變送器的區別
- 國內液位變送器產業的發展趨勢
- 電容式壓力變送器的應用范圍及產品特點介紹
- 決定電容式壓力變送器的選型的幾個關鍵參數要求及相應方法











